Land For Sale: Canada Alberta Rural Vulcan County Vulcan County
SWIPE FOR MORE IMAGES

$188,500 CAD

Vulcan County
Rural Vulcan County, Alberta T0L 2B0
Canada
0.43 m2 :: 4.65 sqft
Land for sale, Vacant Land
Sale price per sqm: 321,412.77
CENTURY 21 Foothills Real Estate
618 Centre Street SE
High River, Alberta T1V1E9, Canada
Phone: 403-669-3907

Remarks:

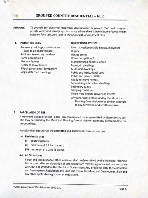
LOT 7. PRIMARY POWER LINES ARE GOING IN !!!! Here is your chance to bring your ideas and purchase your very own acreage lot. With the Grouped Country Residential zoning it will give you numerous options under the permitted and discretionary uses. There are very limited acreage lots available at this size and price. At just under 5 acres the possibilities are endless. For the naturalists these lots still contain untouched prairie wool grasses. The County of Vulcan has been a gem to deal with as well as the inspectors making the development process straightforward. Call your favorite agent today and lets discuss options!!!

Location:

Vulcan County, Rural Vulcan County, Alberta T0L 2B0, Canada
Listed By CENTURY 21 Foothills Real Estate

The Land for sale, Vacant Land located at Vulcan County, Rural Vulcan County, Alberta T0L 2B0, Canada is currently for sale. Vulcan County, Rural Vulcan County, Alberta T0L 2B0, Canada is listed for $188,500 CAD. If the property located at Vulcan County, Rural Vulcan County, Alberta T0L 2B0, Canada isn't what you're looking for, search Alberta Real Estate to see other Land For Sale in Rural Vulcan County.

Large Photo